The effusive source emits molecules that are velocity-selected by the three delimiters S1, S2 and S3. The KDTL interferometer is composed of two SiNx gratings G1 and G3, as well as the standing light wave G2. The optical dipole force grating imprints a phase modulation ϕ(x)∝αopt·P/(v·wy) onto the matter wave. Here αopt is the optical polarizability, P the laser power, v the molecular velocity and wy the laser beam waist perpendicular to the molecular beam. The molecules are detected using electron impact ionization and quadrupole mass spectrometry.
Nature Communications – Quantum interference of large organic molecules
The wave nature of matter is a key ingredient of quantum physics and yet it defies our classical intuition. First proposed by Louis de Broglie a century ago, it has since been confirmed with a variety of particles from electrons up to molecules. Here we demonstrate new high-contrast quantum experiments with large and massive tailor-made organic molecules in a near-field interferometer. Our experiments prove the quantum wave nature and delocalization of compounds composed of up to 430 atoms, with a maximal size of up to 60 Å, masses up to m=6,910 AMU and de Broglie wavelengths down to λdB=h/mv≃1 pm. We show that even complex systems, with more than 1,000 internal degrees of freedom, can be prepared in quantum states that are sufficiently well isolated from their environment to avoid decoherence and to show almost perfect coherence.
In conclusion, our experiments reveal the quantum wave nature of tailor-made organic molecules in an unprecedented mass and size domain. They open a new window for quantum experiments with nanoparticles in a complexity class comparable to that of small proteins, and they demonstrate that it is feasible to create and maintain high quantum coherence with initially thermal systems consisting of more than 1,000 internal degrees of freedom.
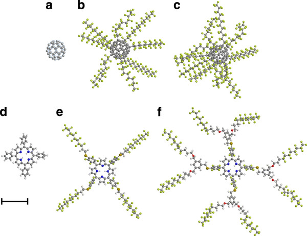
(a) The fullerene C60 (m=720 AMU, 60 atoms) serves as a size reference and for calibration purposes; (b) The perfluoroalkylated nanosphere PFNS8 (C60[C12F25]8, m=5,672 AMU, 356 atoms) is a carbon cage with eight perfluoroalkyl chains. (c) PFNS10 (C60[C12F25]10, m=6,910 AMU, 430 atoms) has ten side chains and is the most massive particle in the set. (d) A single tetraphenylporphyrin TPP (C44H30N4, m=614 AMU, 78 atoms) is the basis for the two derivatives (e) TPPF84 (C84H26F84N4S4, m=2,814 AMU, 202 atoms) and (f) TPPF152 (C168H94F152O8N4S4, m=5,310 AMU, 430 atoms). In its unfolded configuration, the latter is the largest molecule in the set. Measured by the number of atoms, TPPF152 and PFNS10 are equally complex. All molecules are displayed to scale. The scale bar corresponds to 10 Å.
If you liked this article, please give it a quick review on ycombinator or StumbleUpon. Thanks

Brian Wang is a Futurist Thought Leader and a popular Science blogger with 1 million readers per month. His blog Nextbigfuture.com is ranked #1 Science News Blog. It covers many disruptive technology and trends including Space, Robotics, Artificial Intelligence, Medicine, Anti-aging Biotechnology, and Nanotechnology.
Known for identifying cutting edge technologies, he is currently a Co-Founder of a startup and fundraiser for high potential early-stage companies. He is the Head of Research for Allocations for deep technology investments and an Angel Investor at Space Angels.
A frequent speaker at corporations, he has been a TEDx speaker, a Singularity University speaker and guest at numerous interviews for radio and podcasts. He is open to public speaking and advising engagements.

