Harvesting heat produced by a car’s engine which would otherwise be wasted and using it to recharge the car’s batteries or powering the air-conditioning system could be a significant feature in the next generation of hybrid cars.
The average car currently loses around 70% of energy generated through fuel consumption to heat. Utilising that lost energy requires a thermoelectric material which can generate an electrical current from the application of heat.
Currently, materials which exhibit these properties are often toxic and operate at very high temperatures – higher than that produced by car engines. By adding graphene, a new generation of composite materials could reduce carbon emissions globally from car use.
Scientists from The University of Manchester working with European Thermodynamics Ltd have increased the potential for low cost thermoelectric materials to be used more widely in the automotive industry.
The team, led by Prof Ian Kinloch, Prof Robert Freer and Yue Lin, added a small amount of graphene to strontium titanium oxide.
The resulting composite was able to convert heat which would otherwise be lost as waste into an electric current over a broad temperature range, going down to room temperature.
Prof Freer said: “Current oxide thermoelectric materials are limited by their operating temperatures which can be around 700 degrees Celsius. This has been a problem which has hampered efforts to improve efficiency by utilising heat energy waste for some time.
“Our findings show that by introducing a small amount of graphene to the base material can reduce the thermal operating window to room temperature which offers a huge range of potential for applications.
“The new material will convert 3-5% of the heat into electricity. That is not much but, given that the average vehicle loses roughly 70% of the energy supplied to it by its fuel to waste heat and friction, recovering even a small percentage of this with thermoelectric technology would be worthwhile.”
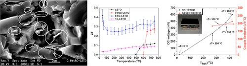
The applications of strontium titanium oxide based thermoelectric materials are currently limited by their high operating temperatures of over 700 °C. Herein, we show that the thermal operating window of lanthanum strontium titanium oxide (LSTO) can be reduced to room temperature by the addition of a small amount of graphene. This increase in operating performance will enable future applications such as generators in vehicles and other sectors. The LSTO composites incorporated one percent or less of graphene and were sintered under an argon/hydrogen atmosphere. The resultant materials were reduced and possessed a multiphase structure with nanosized grains. The thermal conductivity of the nanocomposites decreased upon the addition of graphene, whereas the electrical conductivity and power factor both increased significantly. These factors, together with a moderate Seebeck coefficient, meant that a high power factor of ∼2500 μWm–1 K–2 was reached at room temperature at a loading of 0.6 wt % graphene. The highest thermoelectric figure of merit (ZT) was achieved when 0.6 wt % graphene was added (ZT = 0.42 at room temperature and 0.36 at 750 °C), with over 280% enhancement compared to that of pure LSTO. A preliminary 7-couple device was produced using bismuth strontium cobalt oxide/graphene-LSTO pucks. This device had a Seebeck coefficient of ∼1500 μV/K and an open voltage of 600 mV at a mean temperature of 219 °C.
SOURCE – Manchester University, ACS Applied Materials and Interfaces

Brian Wang is a Futurist Thought Leader and a popular Science blogger with 1 million readers per month. His blog Nextbigfuture.com is ranked #1 Science News Blog. It covers many disruptive technology and trends including Space, Robotics, Artificial Intelligence, Medicine, Anti-aging Biotechnology, and Nanotechnology.
Known for identifying cutting edge technologies, he is currently a Co-Founder of a startup and fundraiser for high potential early-stage companies. He is the Head of Research for Allocations for deep technology investments and an Angel Investor at Space Angels.
A frequent speaker at corporations, he has been a TEDx speaker, a Singularity University speaker and guest at numerous interviews for radio and podcasts. He is open to public speaking and advising engagements.
