China’s news.ifeng.com is hailing a new alloy as being a success in China’s program 973 an aircraft engine project. Chen was funded at Nanjing Polytechnic University and the state’s Program 973.
It seems that the new alloy will allow an engine built with it to operate at 150-200 degrees celsius higher temperature.
Inferior engine alloys have been a primary gap in China’s aviation technology. Even catching up with US jet engine materials would be a major development for China’s commercial and military jet efforts.
Nature Materials – Polysynthetic twinned TiAl single crystals for high-temperature applications
Optical micrographs of directionally solidified Ti–45Al–8Nb PST single crystals at different withdrawal rate
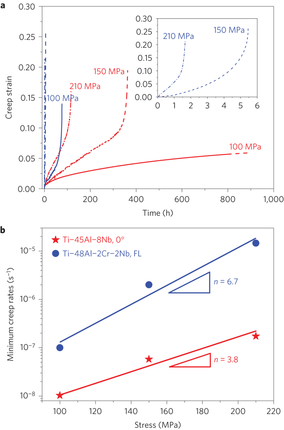
General Electric development of the Titanium alloy Ti-48Al-2Cr-2Nb (Alloy 4822) as a critical technology for the GEnx engine used in the Boeing 787. alloy 4822 was hailed as a success in the development of aircraft engine materials as it reduces the weight of an aircraft engine by 200 pounds, fuel consumption by 20% and discharge of NOx by 80% and significantly lowered engine noise.
Abstract – Nature Materials – Polysynthetic twinned TiAl single crystals for high-temperature applications
TiAl alloys are lightweight, show decent corrosion resistance and have good mechanical properties at elevated temperatures, making them appealing for high-temperature applications. However, polysynthetic twinned TiAl single crystals fabricated by crystal-seeding methods face substantial challenges, and their service temperatures cannot be raised further. Here we report that Ti–45Al–8Nb single crystals with controlled lamellar orientations can be fabricated by directional solidification without the use of complex seeding methods. Samples with 0° lamellar orientation exhibit an average room temperature tensile ductility of 6.9% and a yield strength of 708 MPa, with a failure strength of 978 MPa due to the formation of extensive nanotwins during plastic deformation. At 900 °C yield strength remains high at 637 MPa, with 8.1% ductility and superior creep resistance. Thus, this TiAl single-crystal alloy could provide expanded opportunities for higher-temperature applications, such as in aeronautics and aerospace.
9 pages of supplemental material
SOURCES- Nature Materials, Ifeng

Brian Wang is a Futurist Thought Leader and a popular Science blogger with 1 million readers per month. His blog Nextbigfuture.com is ranked #1 Science News Blog. It covers many disruptive technology and trends including Space, Robotics, Artificial Intelligence, Medicine, Anti-aging Biotechnology, and Nanotechnology.
Known for identifying cutting edge technologies, he is currently a Co-Founder of a startup and fundraiser for high potential early-stage companies. He is the Head of Research for Allocations for deep technology investments and an Angel Investor at Space Angels.
A frequent speaker at corporations, he has been a TEDx speaker, a Singularity University speaker and guest at numerous interviews for radio and podcasts. He is open to public speaking and advising engagements.



