Researchers at the U.S. Department of Energy’s (DOE) Ames Laboratory have discovered an unusual property of purple bronze that may point to new ways to achieve high temperature superconductivity.
While studying purple bronze, a molybdenum oxide, researchers discovered an unconventional charge density wave on its surface.
A charge density wave (CDW) is a state of matter where electrons bunch together in a repeating pattern, like a standing wave of surface of water. Superconductivity and charge density waves share a common origin, often co-exist, and can compete for dominance in certain materials.
Conventional CDWs and superconductivity both arise from electron-phonon interactions, the interaction of electrons with the vibrations of the crystal lattice. Electron-electron interactions are the likely origin of unconventional, high-temperature superconductivity such as found in copper- and iron-based compounds.
Unconventional, electron-electron driven CDW are extremely rare and its discovery here is important, because the material showed an ‘extraordinary’ increase of CDW transition temperature from 130K (-143°C) to 220K (-53 °C) and a huge increase of energy gap at the surface.
Bulk and surface CDW transition. (a) High-energy x-ray diffraction patterns of the reciprocal lattice plane ( H K 0 ). The CDW superstructure peaks are marked by blue arrows (logarithmic color scale). (b) High-resolution diffraction patterns of the ( 92 0 0) CDW peak (linear color scale). (c) Plot of the temperature dependence of the CDW peak (linear color scale). The intensity is obtained by summing up the high-resolution diffraction patterns of the ( 92 0 0) peak along the transverse direction in (b), and is plotted along the longitudinal direction. (d) LEED images. Red arrows point to CDW superstructure peaks.
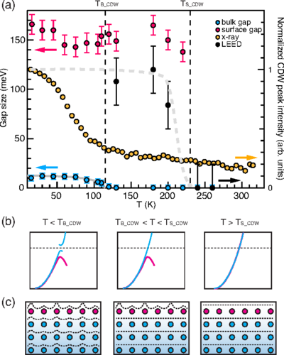
Summary of the temperature-dependent CDW gap and band structure evolvement. (a) Temperature dependence of the surface (red solid circles) and bulk (blue solid circles) CDW gap. The surface gap is extracted from the back bending point of the surface band and the bulk gap is extracted from the leading edge shift of kF EDCs [Fig. 1]. The gray solid line is a BCS-like temperature dependence with Δ0=12 meV . The integrated intensity of the CDW peak measured by x-ray diffraction [Fig. 2] is shown with yellow solid circles. Black data points represent the intensity of CDW peaks measured by LEED. Dashed line is a guide to the eye. (b) Illustration of the surface (blue line) and bulk (red line) band dispersion. (c) Illustration of surface (red) and bulk (blue) CDW formation in real space. Dashed lines represent a density distribution of conducting electrons.
Bulk and surface CDW gaps: (a) Measured FS at 130 K. Intensity is integrated within EF±10 meV and data are symmetrized with sixfold symmetry. Dashed arrows indicate three nesting vectors, each connecting two quasi-1D FS sheets [51]. The red rectangle is expanded in the left-bottom inset to demonstrate the FS hybridization. (b)–(d) ARPES intensity measured along the cut (red line) shown in (a). (e) Extracted band dispersion from (d). (f) EDCs along the same cut. (g)–(i) ARPES intensity divided by Fermi function close to EF at 130, 75, and 45 K. (j) Temperature dependence of the EDCs at kF showing opening of bulk CDW gap. (k) Same as in (j), but symmetrized about EF .
Both are properties essential for CDW and high-temperature superconductivity, explained Adam Kaminski, Ames Laboratory scientist and professor in the Department of Physics and Astronomy at Iowa State University.
“This was an accidental but very exciting discovery,” said Kaminski. “We were studying this material because its one-dimensional structure makes it quite interesting. We saw strange things happening to the electronic band structure, but when we looked at the surface we were stunned by extraordinary enhancement of transition temperature and energy gap.”
The science is further discussed in the paper, “Discovery of an Unconventional Charge Density Wave at the Surface of K0.9Mo6O17”, co-authored by Daixiang Mou, A. Sapkota, H.-H. Kung, Viktor Krapivin, Yun Wu, A. Kreyssig, Xingjiang Zhou, A. I. Goldman, G. Blumberg, Rebecca Flint, and Adam Kaminski; and featured as an Editor’s Suggestion in Physical Review Letters.
The research used resources of the Advanced Photon Source, a DOE Office of Science User Facility at Argonne National Laboratory.
Ames Laboratory is a U.S. Department of Energy Office of Science national laboratory operated by Iowa State University. Ames Laboratory creates innovative materials, technologies and energy solutions. We use our expertise, unique capabilities and interdisciplinary collaborations to solve global problems.
Abstract
We use angle resolved photoemission spectroscopy, Raman spectroscopy, low energy electron diffraction, and x-ray scattering to reveal an unusual electronically mediated charge density wave (CDW) in K0.9Mo6O17. Not only does K0.9Mo6O17 lack signatures of electron-phonon coupling, but it also hosts an extraordinary surface CDW, with TS_CDW=220 K nearly twice that of the bulk CDW, TB_CDW=115 K. While the bulk CDW has a BCS-like gap of 12 meV, the surface gap is 10 times larger and well in the strong coupling regime. Strong coupling behavior combined with the absence of signatures of strong electron-phonon coupling indicates that the CDW is likely mediated by electronic interactions enhanced by low dimensionality.

Brian Wang is a Futurist Thought Leader and a popular Science blogger with 1 million readers per month. His blog Nextbigfuture.com is ranked #1 Science News Blog. It covers many disruptive technology and trends including Space, Robotics, Artificial Intelligence, Medicine, Anti-aging Biotechnology, and Nanotechnology.
Known for identifying cutting edge technologies, he is currently a Co-Founder of a startup and fundraiser for high potential early-stage companies. He is the Head of Research for Allocations for deep technology investments and an Angel Investor at Space Angels.
A frequent speaker at corporations, he has been a TEDx speaker, a Singularity University speaker and guest at numerous interviews for radio and podcasts. He is open to public speaking and advising engagements.


