North Dakota produced 575,490 barrels of oil per day in March, 2012. This is second most for a state, behind Texas This was a 17,245 bpd increase over the prior month.
North Dakota produced an average of 575,490 barrels of crude oil every day in March, another record, according to Lynn Helms, director of the state’s Department of Mineral Resources. The crude is coming from a record 6,636 wells. In February, the state produced 558,255 barrels and had 6,450 wells.
The number of rigs drilling in the state was at 208 on Monday, about where it has been for eight months, including a record 212 drilling for a day or two earlier this month. North Dakota’s new record output of crude surpassed the steadily declining output of Alaska, which saw its production fall to 567,481 barrels per day in March, down nearly 15,000 barrels per day from February, said Stephen McMains of the state’s Oil and Gas Conservation Commission on Monday.
Meanwhile, Texas’ production has been rising steadily by 12 percent since September, to 1.72 million barrels per day in February, the latest figures available from the U.S. Energy Information Administration, which tracks state and federal crude oil production. Meg Coleman, a geologist with the EIA, said preliminary figures make it appear Texas’ production increased in March.
Texas is also rapidly increasing its oil production using horizontal drilling into Eagle Ford and the Permian Basin.
By the end of 2012, North Dakota should be over 700,000 bpd and could be over 800,000 bpd. Texas should be over 2 million bpd.
North Dakota monthly oil statistics
At the end of 2011 for oil liquids.
Saudi Arabia – 11.2 mbd
Russia – 10.2 mbd
United States – 10.1 mbd [now 10.58 mbd]
China – 4.3 mbd
Iran – 4.2 mbd
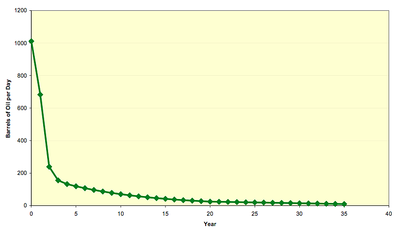
Typical North Dakota Bakken oil well production profile.
If you liked this article, please give it a quick review on ycombinator or StumbleUpon. Thanks

Brian Wang is a Futurist Thought Leader and a popular Science blogger with 1 million readers per month. His blog Nextbigfuture.com is ranked #1 Science News Blog. It covers many disruptive technology and trends including Space, Robotics, Artificial Intelligence, Medicine, Anti-aging Biotechnology, and Nanotechnology.
Known for identifying cutting edge technologies, he is currently a Co-Founder of a startup and fundraiser for high potential early-stage companies. He is the Head of Research for Allocations for deep technology investments and an Angel Investor at Space Angels.
A frequent speaker at corporations, he has been a TEDx speaker, a Singularity University speaker and guest at numerous interviews for radio and podcasts. He is open to public speaking and advising engagements.

