Science – Entangling Superconductivity and Antiferromagnetism
Today we have two families of high-transition temperature (Tc) superconductors, based respectively on compounds in which copper and iron atoms occupy a layered square lattice. An open question is how the quantum mechanics of electrons moving cooperatively on such lattices leads to high-Tc superconductivity. Both families display antiferromagnetism as their chemical compositions are varied. It is the interplay between the magnetic and electronic properties that is thought to be controlled by intricate quantum entanglement among the electrons, and to be at the origin of the superconducting properties. The antiferromagnetism is strongest at compositions at which Tc is either zero or small. As the composition is varied and the antiferromagnetism decreases, a critical composition is reached at which the antiferromagnetism vanishes at zero temperature—an example of a quantum phase transition. There is a report of observations of an especially well-characterized example of such a quantum critical point in a high-Tc superconductor, crystals of BaFe2(As1-xPx)2 with minimal chemical disorder. A novel feature of their experiments is that the signature of a magnetic critical point is observed in an electrical property: The antiferromagnetic quantum critical point leads to a change in the ability of the electrons to carry a super-current. The results demonstrate the close connection between antiferromagnetism and high-Tc superconductivity.
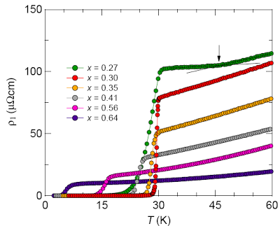
Low-temperature microwave resistivity 1 of BaFe2(As1xPx)2 at 4.9 GHz for various
P-concentrations. The arrow indicates a kink anomaly observed for x = 0:27, which is attributed to the structural or SDW transition. The lines are guides for the eye.
In a superconductor, the ratio of the carrier density, n, to its effective mass, m*, is a fundamental property directly reflecting the length scale of the superfluid flow, the London penetration depth, λL. In two-dimensional systems, this ratio n/m* (~1/λL2) determines the effective Fermi temperature, TF. We report a sharp peak in the x-dependence of λL at zero temperature in clean samples of BaFe2(As1–xPx)2 at the optimum composition x = 0.30, where the superconducting transition temperature Tc reaches a maximum of 30 kelvin. This structure may arise from quantum fluctuations associated with a quantum critical point. The ratio of Tc/TF at x = 0.30 is enhanced, implying a possible crossover toward the Bose-Einstein condensate limit driven by quantum criticality.
15 pages of supplemental information
If you liked this article, please give it a quick review on ycombinator or StumbleUpon. Thanks

Brian Wang is a Futurist Thought Leader and a popular Science blogger with 1 million readers per month. His blog Nextbigfuture.com is ranked #1 Science News Blog. It covers many disruptive technology and trends including Space, Robotics, Artificial Intelligence, Medicine, Anti-aging Biotechnology, and Nanotechnology.
Known for identifying cutting edge technologies, he is currently a Co-Founder of a startup and fundraiser for high potential early-stage companies. He is the Head of Research for Allocations for deep technology investments and an Angel Investor at Space Angels.
A frequent speaker at corporations, he has been a TEDx speaker, a Singularity University speaker and guest at numerous interviews for radio and podcasts. He is open to public speaking and advising engagements.
